Ir para o conteúdo
  • Plataforma Virtual IAB Class
  • Mentorias
  • Paciente Modelo
  • Pesquisa
    • Artigos Científicos
    • GPIAB
    • Voluntários de Pesquisa Clínica
    • Projetos de Pesquisa
  • Blog
  • Plataforma Virtual IAB Class
  • Mentorias
  • Paciente Modelo
  • Pesquisa
    • Artigos Científicos
    • GPIAB
    • Voluntários de Pesquisa Clínica
    • Projetos de Pesquisa
  • Blog
Facebook-f Instagram Youtube
  • O Instituto
  • Dr. Antony
  • Procedimentos
  • Resultados Clínicos
  • Contato
  • O Instituto
  • Dr. Antony
  • Procedimentos
  • Resultados Clínicos
  • Contato
  • O Instituto
  • Dr. Antony
  • Procedimentos
  • Resultados Clínicos
  • Contato
  • Plataforma Virtual IAB Class
  • Mentorias
  • Paciente Modelo
  • Pesquisa
    • Artigos Científicos
    • GPIAB
    • Voluntários de Pesquisa Clínica
    • Projetos de Pesquisa
  • Blog
    • Ácido Hialurônico
    • Toxina Botulínica
  • O Instituto
  • Dr. Antony
  • Procedimentos
  • Resultados Clínicos
  • Contato
  • Plataforma Virtual IAB Class
  • Mentorias
  • Paciente Modelo
  • Pesquisa
    • Artigos Científicos
    • GPIAB
    • Voluntários de Pesquisa Clínica
    • Projetos de Pesquisa
  • Blog
    • Ácido Hialurônico
    • Toxina Botulínica
Agende uma consulta

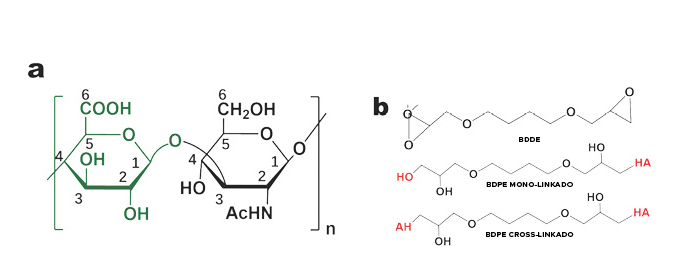
O processo de reticulação do ácido hialurônico

As moléculas de ácido hialurônico (AH) lineares naturais são facilmente degradadas pela hialuronidase e não possuem consistência adequada para um efeito preenchedor satisfatório.

Para que os preenchedores de AH adquiram consistência e durabilidade adequadas, é necessário que a molécula de AH passe por um processo chamado crosslinking, que pode ser diferente dependendo da tecnologia utilizada.

O processo de crosslinking mais comum consiste no aumento da polimerização do AH a partir da adição moléculas de 1,4-butandioldiglicidil éter (BDDE), que ligam as cadeias poliméricas de AH umas às outras por ligações covalentes, tornando o AH mais estável e reticulado.

O BDDE é o agente reticulante mais comum, por apresentar menor toxicidade. o éter 1,4-butanodiol di- (propan-2,3-diolil) (BDPE) é uma molécula gerada a partir do BDDE durante o processo de reticulação”.

Este processo torna o AH um gel viscoelástico, influenciando diretamente nas características reológicas do preenchedor.

Fontes:

Seo, K.K. Volumizing Fillers. In: Facial Volumization with Fillers. Springer, Singapore, 2021. https://doi.org/10.1007/978-981-33-6212-3_2

La Gatta, A.; Bedini, E.; Aschettino, M.; Finamore, R.; Schiraldi, C. Hyaluronan Hydrogels: Rheology and Stability in Relation to the Type/Level of Biopolymer Chemical Modification. Polymers 2022, 14, 2402. 

Fundarò SP, Salti G, Malgapo DMH, Innocenti S. The Rheology and Physicochemical Characteristics of Hyaluronic Acid Fillers: Their Clinical Implications. Int J Mol Sci. 2022 Sep 10;23(18):10518.

Zhang T, Zhao S, Chen Y, Wang J, Zhang W, Liu J, Kan Y, Li JP, Guo X, Li H. In-depth characterization of 1,4-butanediol diglycidyl ether substituted hyaluronic acid hydrogels. Carbohydr Polym. 2023 May 1;307:120611. doi: 10.1016/j.carbpol.2023.120611.

Endereços

Belo Horizonte

Rua Marco Aurélio de Miranda, 406
Sala 1104 Buritis – MG

São Paulo

Rua Gomes de Carvalho, 1581
Cj 803 – Vila Olímpia – SP

Maringá

Av. Gov. Parigot de Souza, 545
Zone 1 – Maringá – PR

Telefones

Telefone: (31) 3657-3312
WhatsApp: (31) 98470-3329

Responsável

Prof. Dr. Antony Barbosa
Farmacêutico
CRF-MG 41352

Siga-nos

Facebook-f Instagram Youtube
Todo o conteúdo deste site tem caráter meramente informativo e não deve ser utilizado para realizar autodiagnóstico, autotratamento ou automedicação. Em caso de dúvidas, consulte o seu médico.

2026. Todos os direitos reservados.

DW/tz